Häufige Fragen
Wie kann ich die Entwicklung des SARON mitverfolgen?
Die SARON-Sätze können mit einer Verzögerung von rund 24 Stunden auf der Website der SIX Swiss Exchange AG abgerufen werden.
Warum ersetzt der SARON den Libor?
Der Libor verliert an Relevanz, weil ihm die zugrundeliegenden Geldmarktgeschäfte fehlen. Entsprechend beruht die Berechnung des CHF Libor seither fast ausschliesslich auf Experteneinschätzungen anstelle von tatsächlichen Markttransaktionen.
Die britische Finanzmarktaufsicht wird den Libor nach dem Jahr 2021 nicht mehr unterstützen. In der Schweiz hat sich deshalb die Nationale Arbeitsgruppe für Referenzzinssätze in Franken, das Gremium, das Reformvorschläge im Inland erarbeitet, für den SARON als Alternative zum CHF-Libor ausgesprochen.
Die britische Finanzmarktaufsicht wird den Libor nach dem Jahr 2021 nicht mehr unterstützen. In der Schweiz hat sich deshalb die Nationale Arbeitsgruppe für Referenzzinssätze in Franken, das Gremium, das Reformvorschläge im Inland erarbeitet, für den SARON als Alternative zum CHF-Libor ausgesprochen.
Wie erfolgt die Zinsberechnung bei der SARON-Hypothek?
Der SARON ist ein Tagesgeldsatz und gilt für die Zinsperiode von heute auf morgen. Damit Sie als Kunde nicht täglich Zinsen zahlen müssen, erfolgt die Zinsabrechnung der SARON-Hypothek wie üblich für eine Zinsperiode von 3 Monaten jeweils am Quartalsende. Dazu wird der SARON Compound (aufgezinster SARON) gebildet. Er berechnet sich, indem die SARON-Tagesgeldsätze während der Zinsperiode von 3 Monaten aufgezinst werden. Die Untergrenze (Floor) für den aufgezinsten SARON beträgt 0%.
Der aufgezinste SARON zuzüglich der vereinbarten Marge ergibt dann den Zinssatz für die SARON-Hypothek. Die Höhe des Zinssatzes und damit die Höhe der zu leistenden Zinszahlung sind bei der SARON-Hypothek somit erst am vorletzten Tag der Zinsperiode bekannt. Der Zinssatz wird Ihnen jeweils am Quartalsende auf der Zinsabrechnung mitgeteilt. Im E-Banking haben Sie jedoch die Möglichkeit, den jeweils aktuell gültigen Zinssatz für die SARON-Hypothek einzusehen. So können Sie die Entwicklung des Zinssatzes auch während der Zinsperiode bequem mitverfolgen.
Der aufgezinste SARON zuzüglich der vereinbarten Marge ergibt dann den Zinssatz für die SARON-Hypothek. Die Höhe des Zinssatzes und damit die Höhe der zu leistenden Zinszahlung sind bei der SARON-Hypothek somit erst am vorletzten Tag der Zinsperiode bekannt. Der Zinssatz wird Ihnen jeweils am Quartalsende auf der Zinsabrechnung mitgeteilt. Im E-Banking haben Sie jedoch die Möglichkeit, den jeweils aktuell gültigen Zinssatz für die SARON-Hypothek einzusehen. So können Sie die Entwicklung des Zinssatzes auch während der Zinsperiode bequem mitverfolgen.
Was versteht man im Zusammenhang mit der SARON-Hypothek unter Kapitalbindung, Zinsperiode und Betrachtungsperiode?
- Die Kapitalbindung ist der Zeitraum, in welchem das Kapital zur Verfügung steht. Eine Kapitalbindung (1–3 Jahre) unterteilt sich in der Regel in mehrere Zinsperioden.
- Die Zinsperiode ist bei der SARON-Hypothek in der Regel 3 Monate und endet per Quartalsende. Über diese Periode (Anzahl Tage) wird der Schuldzins verrechnet.
- Die Betrachtungsperiode dient als Basis zur Berechnung des SARON Compound (aufgezinster SARON) und definiert den Zeitraum, über welchen die SARON-Zinssätze aufgezinst werden. Der so berechnete aufgezinste SARON ist für den Kapitalbezug während der Zinsperiode zu bezahlen. Bei unserer SARON-Hypothek sind die Betrachtungs- und die Zinsperiode identisch.
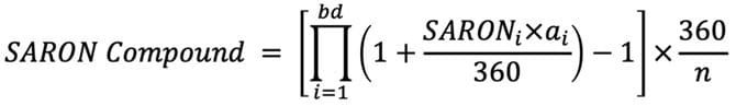
Wie berechnet sich der SARON Compound?
Die Berechnungsmethode des SARON Compound ist auf der Website der SIX einsehbar und dieser kann dort nachgerechnet werden. Die einzelnen SARON-Sätze finden sich mit rund 24 Stunden Verzögerung ebenfalls auf der Website der SIX. Die einzelnen SARON-Zinssätze werden mit 6 Dezimalstellen publiziert und fliessen ungerundet in die Berechnung des SARON Compound ein. Letzterer wird auf die 4. Dezimalstelle gerundet.
Die Berechnung des SARON Compound erfolgt gemäss nachstehender Formel:
Die Berechnung des SARON Compound erfolgt gemäss nachstehender Formel:
| n | Anzahl Kalendertage in der Betrachtungsperiode, beginnend am ersten Kalendertag (und inkludiert) dem Startdatum bis zum Enddatum (aber exkludiert). Bespiel: n ist gleich eins, falls die Betrachtungsperiode von Montag bis Dienstag geht. |
|---|---|
| bd | Anzahl der Bankarbeitstage in der Betrachtungsperiode, beginnend und inklusive des ersten Kalendertages (Startdatum) bis zum vorletzten Kalendertag, ausser das Startdatum ist kein Bankarbeitstag – dann wird bd um eins erhöht. Beispielsweise beträgt bd eins für eine Betrachtungsperiode von Montag bis Dienstag, zwei für eine Betrachtungsperiode von Sonntag bis Dienstag und eins für eine Betrachtungsperiode von Freitag bis Sonntag. |
| i | Index, welcher von 1 bis bd geht |
| SARONi | steht für den Wert des SARON am entsprechenden Bankarbeitstag i. Im Falle, dass das Startdatum kein Bankarbeitstag ist, wird der SARON vom vorhergehenden Bankarbeitstag berücksichtigt. |
| ai | Anzahl Kalendertage, an denen der entsprechende SARON gilt. Falls z.B. die Betrachtungsperiode an einem Sonntag endet, entspricht abd zwei. Falls die Betrachtungsperiode an einem Sonntag startet, ist a1 eins und der SARON vom vorhergehenden Bankarbeitstag wird berücksichtigt. |
Definition der Bankarbeits- und Kalendertage:
Wie sieht ein konkretes Berechnungsbeispiel einer SARON-Hypothek aus?
Nehmen wir an, Sie schliessen eine Hypothek per Valutadatum 17.09. ab, d.h., an diesem Tag wird Ihnen ein Kredit in der Höhe von beispielsweise CHF 500'000.- ausbezahlt. Am Ende der jeweiligen Zinsperiode bezahlen Sie den SARON Compound zzgl. einer Marge (z.B. 1%). Da SARON-Hypotheken immer quartalsweise abgerechnet werden, erfolgt die erste Zinszahlung in diesem Beispiel bereits per 30.09, d.h., es handelt sich um eine verkürzte Zinsperiode. Im Anschluss werden die Zinsen immer per Quartalsende fällig und die Zinsperiode ist 3 Monate.
Die Höhe der Zinsbelastung per 30.09 wird wie folgt berechnet. Für die Zinsberechnung des ersten Tages, vom 17.09 zum 18.09, wird der SARON (18.00 Uhr Fixing) vom 17.09 berücksichtigt. Die kommenden Tage werden nach der gleichen Methodik berechnet. Da in diesem Beispiel die Zinsabrechnung an einem Sonntag erfolgt, wird für die letzten zwei Tage (Nacht von Fr/Sa und Sa/So) der SARON vom 28.09. berücksichtigt.
Die Höhe der Zinsbelastung per 30.09 wird wie folgt berechnet. Für die Zinsberechnung des ersten Tages, vom 17.09 zum 18.09, wird der SARON (18.00 Uhr Fixing) vom 17.09 berücksichtigt. Die kommenden Tage werden nach der gleichen Methodik berechnet. Da in diesem Beispiel die Zinsabrechnung an einem Sonntag erfolgt, wird für die letzten zwei Tage (Nacht von Fr/Sa und Sa/So) der SARON vom 28.09. berücksichtigt.
Wie erfolgt die Berechnung des SARON Compound im negativen Zinsumfeld?
Im negativen Zinsumfeld beträgt die Untergrenze (Floor) für den SARON Compound (aufgezinster SARON) 0%.
Warum ist bei der SARON-Hypothek der Zinssatz erst am Ende der Zinsperiode bekannt?
Die SARON-Hypothek basiert auf dem täglich festgelegten SARON-Zinssatz. Das heisst, an jedem Tag während der Zinsperiode wird der tagesaktuelle SARON-Zinssatz berücksichtigt. Demnach kann der Zinssatz nicht schon zu Beginn einer Zinsperiode festgelegt werden, sondern ist erst am vorletzten Tag der Zinsperiode bekannt.
Der Zinssatz wird Ihnen jeweils am Quartalsende auf der Zinsabrechnung mitgeteilt. Im E-Banking haben Sie jedoch die Möglichkeit, den jeweils aktuell gültigen Zinssatz für die SARON-Hypothek einzusehen. So können Sie die Entwicklung des Zinssatzes auch während der Zinsperiode bequem mitverfolgen.
Der Zinssatz wird Ihnen jeweils am Quartalsende auf der Zinsabrechnung mitgeteilt. Im E-Banking haben Sie jedoch die Möglichkeit, den jeweils aktuell gültigen Zinssatz für die SARON-Hypothek einzusehen. So können Sie die Entwicklung des Zinssatzes auch während der Zinsperiode bequem mitverfolgen.
Wie kann ich dem Risiko von steigenden Zinsen entgegenwirken?
Bei der SARON-Hypothek profitieren Sie von sinkenden Zinsen, müssen aber auch steigende SARON-Zinsen in Kauf nehmen. Es besteht jedoch die Möglichkeit, die SARON-Hypothek vor Ablauf der festen Kapitallaufzeit in eine Festhypothek umzuwandeln. Dabei muss die Kapitallaufzeit der Festhypothek mindestens der Restlaufzeit der umzuwandelnden SARON-Hypothek entsprechen. Von einem generell steigenden Zinsniveau sind allerdings meist auch die Zinssätze der anderen Hypothekarmodelle betroffen.
Warum soll ich eine SARON-Hypothek abschliessen?
Bei der SARON-Hypothek profitieren Sie von attraktiven Konditionen. Zudem bewegen Sie sich bei der SARON-Hypothek direkt am Puls des Geldmarktes. Jede Entwicklung ist für Sie unmittelbar spürbar. Bei sinkenden Zinsen können Sie entsprechend rasch profitieren. Steigen die Zinsen hingegen an, müssen Sie die Mehrbelastung tragen können. Die SARON-Hypothek eignet sich demnach vor allem für preissensitive Liegenschaftsbesitzer, die auch das Risiko von Zinsanstiegen eingehen wollen.