Foire aux questions
Comment suivre l’évolution du SARON?
Les taux SARON peuvent être consultés avec un écart d'environ 24 heures sur le site internet de SIX Swiss Exchange SA.
Pourquoi le SARON remplace-t-il le Libor?
Le Libor perd de sa pertinence car le volume de transactions sous-jacentes du marché monétaire est peu important. C’est pourquoi le calcul du Libor en CHF est désormais basé presque uniquement sur des estimations d'experts et non sur des transactions effectives sur le marché.
L'Autorité des services financiers britannique (Financial Services Authority) ne soutiendra plus le Libor après 2021. En Suisse, le groupe de travail national pour les taux d'intérêt de référence en francs, l'organe qui élabore les propositions de réforme interne, s'est donc prononcé en faveur du SARON (Swiss Average Rate Overnight) comme alternative au Libor en francs suisses.
L'Autorité des services financiers britannique (Financial Services Authority) ne soutiendra plus le Libor après 2021. En Suisse, le groupe de travail national pour les taux d'intérêt de référence en francs, l'organe qui élabore les propositions de réforme interne, s'est donc prononcé en faveur du SARON (Swiss Average Rate Overnight) comme alternative au Libor en francs suisses.
Comment le taux d'intérêt est-il calculé pour l'hypothèque SARON?
Le SARON est un taux d’intérêt au jour le jour, qui s'applique à la période d’intérêts située entre le jour présent et le lendemain. Pour éviter que, comme client, vous n'ayez à payer des intérêts sur une base quotidienne, le décompte des intérêts de l'hypothèque SARON est effectué comme habituellement pour une période d'intérêts de 3 mois, à la fin de chaque trimestre. C'est à cette fin qu'on utilise le SARON composé. On le calcule en capitalisant les taux d’intérêt SARON quotidiens durant la période d'intérêts de 3 mois. Le taux plancher (floor) du SARON composé est de 0%. Le SARON composé, plus la marge convenue, permettent d’obtenir alors le taux d’intérêt pour l’hypothèque SARON.
Dans le cas de l’hypothèque SARON, le taux d’intérêt (et le montant des intérêts à verser) n'est donc connu que l'avant-dernier jour de la période d'intérêts. Le taux d’intérêt sera communiqué au client à la fin de chaque trimestre sur le décompte des intérêts. Dans l'E-Banking, il peut toutefois consulter le taux d’intérêt en vigueur pour l’hypothèque SARON. Cela lui permet de suivre facilement l’évolution du taux pendant la période d'intérêts.
Dans le cas de l’hypothèque SARON, le taux d’intérêt (et le montant des intérêts à verser) n'est donc connu que l'avant-dernier jour de la période d'intérêts. Le taux d’intérêt sera communiqué au client à la fin de chaque trimestre sur le décompte des intérêts. Dans l'E-Banking, il peut toutefois consulter le taux d’intérêt en vigueur pour l’hypothèque SARON. Cela lui permet de suivre facilement l’évolution du taux pendant la période d'intérêts.
Qu’entend-on par immobilisation du capital, période d'intérêts et période considérée dans le cadre de l’hypothèque SARON?
- L’immobilisation du capital est la période pendant laquelle le capital est disponible. Une immobilisation du capital (1 à 3 ans) est généralement divisée en plusieurs périodes d’intérêts.
- La période d’intérêts pour l’hypothèque SARON est généralement de trois mois et se termine à la fin de chaque trimestre. Les intérêts passifs sont calculés sur cette période (nombre de jours).
- La période considérée sert de base au calcul du SARON composé (SARON compounded) et définit la période pendant laquelle les taux d’intérêt SARON sont capitalisés. Le SARON composé ainsi calculé doit être versé pour le retrait de capital pendant la période d’intérêts. Pour notre hypothèque SARON, les périodes considérées et les périodes d'intérêts sont identiques.
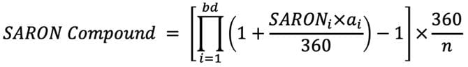
Comment le SARON composé est-il calculé?
La méthode de calcul du SARON est illustrée sur le site internet de SIX, ce qui permet de recontrôler les calculs. Les différents taux SARON peuvent également être consultés sur le site internet de SIX avec un écart d'environ 24 heures. Les différents taux d’intérêt SARON sont publiés avec 6 décimales et inclus dans le calcul du SARON composé sans être arrondis. Ce dernier est arrondi à la quatrième décimale.
Le composé SARON est calculé selon la formule suivante:
Le composé SARON est calculé selon la formule suivante:
| n | Nombre de jours civils de la période considérée, à partir du premier jour civil (date de début, incluse) jusqu'à la date de fin (exclue). Exemple: n est égal à 1 si la période considérée s'étend du lundi au mardi. |
|---|---|
| bd | Nombre de jours bancaires ouvrables de la période considérée, commençant par et incluant le premier jour civil (date de début) jusqu'à l'avant-dernier jour civil, sauf si la date de début n'est pas un jour bancaire ouvrable, auquel cas bd est augmenté de 1. Par exemple, bd s’élève à 1 pour une période considérée du lundi au mardi, à 2 pour une période considérée du dimanche au mardi et à 1 pour une période d'observation du vendredi au dimanche. |
| i | Indice qui va de 1 à bd |
| SARONi | Représente la valeur du SARON le jour bancaire ouvrable correspondant i. Si la date de début n'est pas un jour bancaire ouvrable, le SARON du jour bancaire ouvrable précédent est pris en compte. |
| ai | Nombre de jours civils pendant lesquels le SARON correspondant s’applique. Si, par exemple, la période considérée se termine un dimanche, abd correspond à 2. Si la période considérée commence un dimanche, a1 est égal à 1 et le SARON du jour bancaire ouvrable précédent est pris en compte. |
Définition des jours ouvrables et civils:
Citez un exemple concret de calcul d'une hypothèque SARON?
Supposons que le client souscrive une hypothèque à la date de valeur du 17.9, c'est-à-dire qu'à cette date, un prêt de 500 000 CHF par exemple lui sera versé. À la fin de la période d'intérêts concernée, il paie le SARON composé plus une marge (par exemple 1%). Comme les hypothèques SARON sont toujours réglées trimestriellement, le premier paiement d'intérêts dans cet exemple est effectué le 30.9, ce qui est une période d'intérêts raccourcie. Par la suite, les intérêts sont toujours dus à la fin du trimestre et la période d'intérêts est de 3 mois.
Le montant des intérêts débiteurs au 30.9 est calculé comme suit. Pour le calcul des intérêts du premier jour, du 17.9 au 18.9, le SARON (fixing à 18h00) du 17.9 est pris en compte. Les jours suivants sont calculés selon la même logique. Comme dans cet exemple, le décompte des intérêts a lieu un dimanche, le SARON du 28.9 est pris en compte pour les deux derniers jours (nuit du ven/sam et du sam/dim).
Le montant des intérêts débiteurs au 30.9 est calculé comme suit. Pour le calcul des intérêts du premier jour, du 17.9 au 18.9, le SARON (fixing à 18h00) du 17.9 est pris en compte. Les jours suivants sont calculés selon la même logique. Comme dans cet exemple, le décompte des intérêts a lieu un dimanche, le SARON du 28.9 est pris en compte pour les deux derniers jours (nuit du ven/sam et du sam/dim).
Comment le SARON composé est-il calculé dans le contexte actuels de taux négatifs?
Dans un contexte de taux négatifs, le plancher (floor) pour le composé SARON (SARON composé) est de 0%.
Pourquoi le taux d’intérêt de l’hypothèque SARON n’est-il communiqué qu’à la fin de la période d’intérêts?
L’hypothèque SARON se base sur le taux d’intérêt SARON défini au jour le jour. Cela signifie que le taux quotidien du SARON est pris en compte chaque jour pendant la période d’intérêts. Par conséquent, le taux d'intérêt ne peut pas être fixé au début d'une période d'intérêts, mais n'est connu que l'avant-dernier jour de cette dernière.
Le taux d’intérêt sera communiqué au client à la fin de chaque trimestre sur le décompte des intérêts. Dans l'E-Banking, il peut toutefois consulter le taux d’intérêt en vigueur pour l’hypothèque SARON. Cela lui permet de suivre facilement l’évolution du taux pendant la période d'intérêts.
Le taux d’intérêt sera communiqué au client à la fin de chaque trimestre sur le décompte des intérêts. Dans l'E-Banking, il peut toutefois consulter le taux d’intérêt en vigueur pour l’hypothèque SARON. Cela lui permet de suivre facilement l’évolution du taux pendant la période d'intérêts.
Comment contrer le risque de hausse des taux d'intérêt?
Avec l'hypothèque SARON, vous bénéficiez de la baisse des taux d'intérêt mais devez aussi accepter qu'ils puissent augmenter. Il est toutefois possible de convertir l’hypothèque SARON en hypothèque à taux fixe avant échéance de la durée fixe du capital. La durée de capital de l'hypothèque à taux fixe doit être au moins égale à la durée restante de l'hypothèque SARON à convertir. La plupart du temps, les taux d'intérêt des autres modèles hypothécaires sont cependant aussi touchés par des taux globalement haussiers.
Pourquoi souscrire une hypothèque SARON?
Avec l’hypothèque SARON, le client bénéficie de conditions intéressantes, et évolue au cœur même du marché monétaire. Il peut percevoir immédiatement chaque mouvement. Si les taux d'intérêt baissent, il peut rapidement en tirer profit. Mais s’ils augmentent, il doit être en mesure de supporter la charge supplémentaire. L'hypothèque SARON est donc principalement destinée aux propriétaires de biens immobiliers sensibles au prix, prêts également à prendre le risque d'une hausse des taux d'intérêt.